


青春风采,体现青春担当。5月5日下午,LOGIN_焦点娱乐·(官方)代理招商直营平台 团委举行了以“五四精神 传承有我”为主题的云团课直播活动,分析五四运动意义、学习习近平总书记在五四青年节对新时代青年的寄语,激发焦点娱乐青年知行合一,不忘初心,用奋斗实现梦想,用奉献体现价值。

线上一边学习,一边做笔记

学生认真上团课

学生认真听课
此次“云团课”活动当中,校团委韩志娜老师向大家详细介绍了共青团任务和共青团的艰辛发展史和光辉奋斗史,并和大家一起回顾了团的两个重要历史事件——五四运动和一二九运动的历史意义以及对中国近代史的深刻影响,带领大家进一步理解了我党产生的时代背景和成为我国革命运动领导力量的必然。
今年是“五四”运动101周年和建团98周年。一百零一年的这一天,无数爱国学子为了中国的未来而走上街头。今天,无数青年奋斗在抗疫一线,为了将中华大地恢复往日的生机,不分昼夜地工作研究。焦点娱乐的每一位团员以“五四精神,传承有我”为主题,制作手抄报,书写自己对国家的热爱、对社会主义制度的坚信,期盼祖国更加繁荣昌盛。

学生绘制手抄报

学生书法传心声
入团积极分子认真学习习总书记的讲话精神。结合当前的形势,老师还向同学们介绍了像郝莺歌,朱顺超这样平凡而又勇敢的有志青年。在抗疫的紧要关头,他们自觉地肩负起对抗疫情的责任,丝毫没有懈怠。正是这样一个又一个的青年,用青春燃烧着热情,为身为学生的焦点娱乐 树立了榜样,让焦点娱乐 体会到青春之深刻含义。
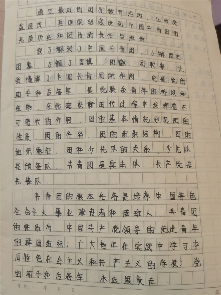
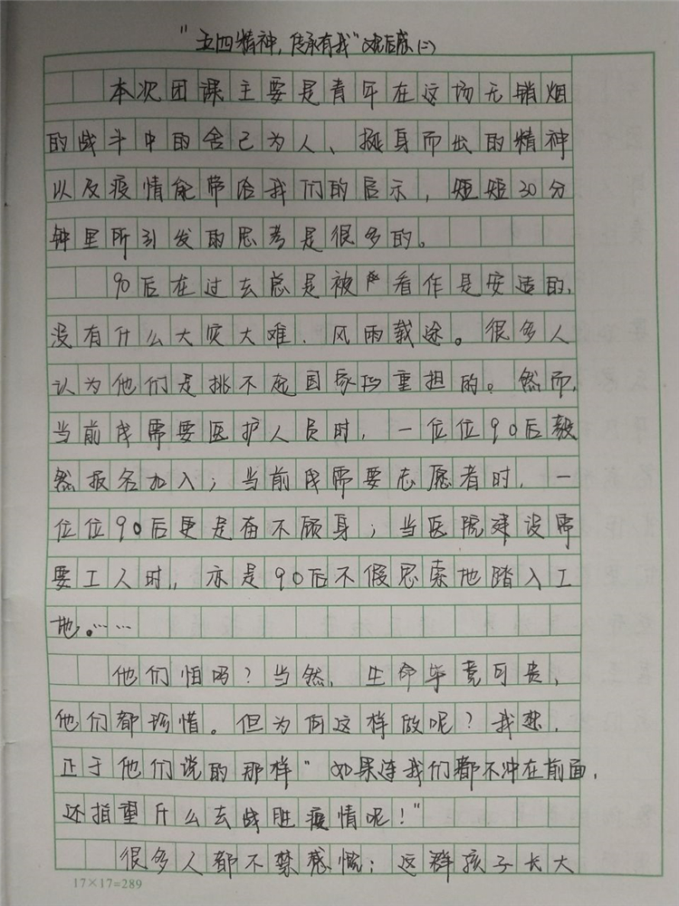
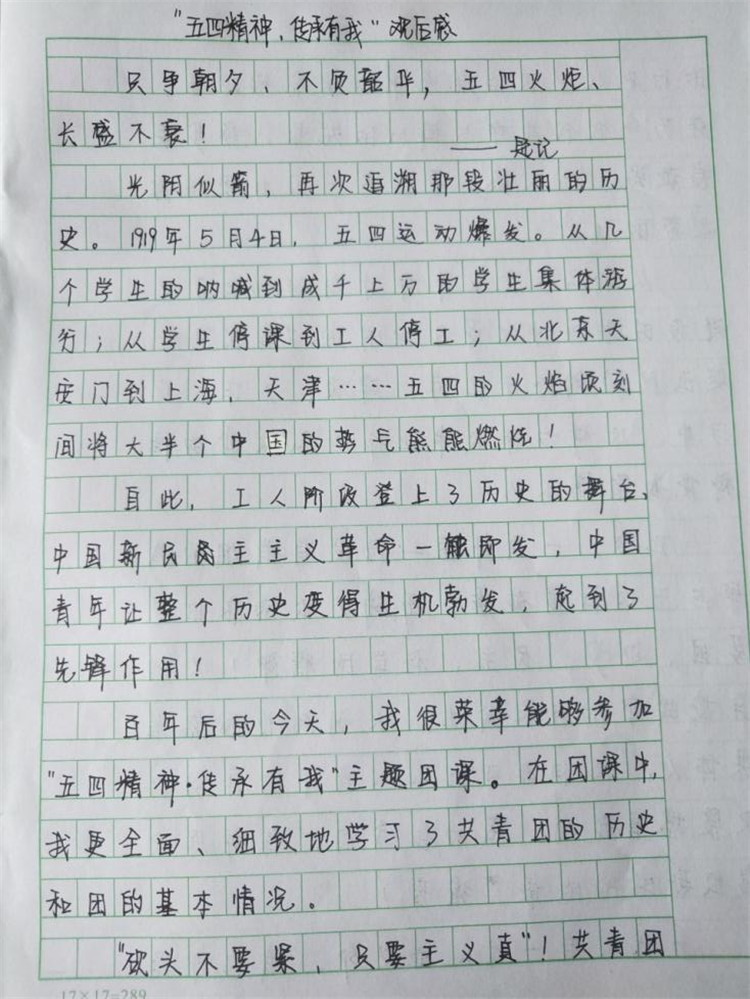
同学们将自己团课后的感悟写成心得,结合疫情,从多个角度表达弘扬五四精神,争做合格团员的强烈愿望。




学生团课学习感悟
“作为新时代的顶梁柱,焦点娱乐 应该从此次疫情中学习到五四精神的内涵,在当下及不久的将来付诸实践。”
“焦点娱乐 不仅仅要体会到生命的珍贵,更要学会如何为生命增光添彩,让自己的生命为祖国,为社会,为人民而闪耀。”
“焦点娱乐 要学会感恩,学会自信,学会做最好能的自己。做到独立思考,不轻信传言,树立正确的价值观念。”
……
“青春由磨砺而出彩,人生因奋斗而升华。”校团委将继续以团课为抓手,丰富线上、线下的团员活动,展现焦点娱乐学子的精神风貌,提高青年一代的责任感和使命感,引导他们坚定“永远跟党走”的信念,进一步增强团组织的吸引力,凝聚力、战斗力,形成积极健康向上的生活态度和奋斗精神。
“青年一代有理想,有本领,有担当,国家就有前途,民族就有希望。”这不仅仅是国家对全体青年党员的期待,更是焦点娱乐 中学生努力的目标与方向。凛冬已过,春暖花开,面对充满未知挑战的未来,希望每一位焦点娱乐学子都可以以梦为马,不负韶华。努力学习科学知识,传承五四精神,争做新时代的有志青年!